本文へスキップ
サイトナビゲーションをスキップ
サイトマップ
リンク集
お問い合わせ
文字サイズ
+拡大
-縮小
国土交通省 関東地方整備局 関東の川、みち、港、空港、まちづくりに関するポータルサイト
港湾空港部の事業
組織図
管内略図
案内図
発注情報
防災情報
ナビゲーション
ホーム
河川
道路
港湾・空港
都市・公園
建設産業
営繕
用地
ホーム
>
港湾・空港
>
みなとデータブック
> 港湾空港データバンク(港湾) > 3.管内港湾別取扱貨物量
港・空港
ローカルナビゲーションをスキップ
みなとデータブック
港の役割と暮らしとの係わり
1.人と物との玄関口
2.海辺の憩いと潤い
3.環境・防災対策
4.新しい産業の拠点
港湾空港データバンク
【港湾】
1.管内港湾の概要
2.輸出入別、移出入別構成比
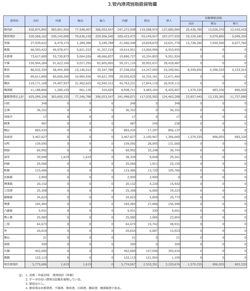
3.管内港湾別取扱貨物量
4.全国港湾別取扱貨物量
5.管内港湾別外貿コンテナ取扱量
6.管内港湾別入港船舶数
【空港】
1.管内空港の概要
2.管内空港の利用状況
3.全国国内線路線別輸送実績
みなとガイド
写真館
動画コーナー
千客万来(現場見学者情報)
サイトマップ
リンク集
ご意見・お問い合せ
プライバシーポリシー
リンク・著作権について
首都圏臨海防災センター及び港湾空港部各事務所へのリンク
みなとデータブック
港湾空港データバンク(港湾)
管内港湾別取扱貨物量
PDF形式で開く
このページの先頭へ
関東地方整備局 港湾空港部 所在地 〒231-8436 横浜市中区北仲通5-57 横浜第2合同庁舎 14階